Further Maths

These worksheets are for my Further Maths group to use.


Further Maths 1

Polynomial division, surds, algebraic fractions, Factor Theorem

Polynomial division, surds, algebraic fractions, Factor Theorem

Further Maths 2

Factor Theorem, graphs of a function, derivatives, gradient, Simplifying surds, simultaneous equations, cosine rule, product rule for counting, expanding and simplifying and Pythagoras' Theorem

Factor Theorem, graphs of a function, derivatives, gradient, Simplifying surds, simultaneous equations, cosine rule, product rule for counting, expanding and simplifying and Pythagoras' Theorem

Further Maths 3

Completing the square, factorising, quadratic formula, graphs, derivatives and formulating equations.

Completing the square, factorising, quadratic formula, graphs, derivatives, product rule for counting and formulating equations.

Further Maths 4

Probability sample space diagrams,  circle theorem, inequalities, differentiation, two way tables, formulating equations, simultaneous equations.

Probability sample space diagrams, circle theorem, inequalities, differentiation, two way tables, formulating equations, simultaneous equations.


Further Maths 5

Proof, circle theorems, Pythagoras' Theorem, Area of a triangle

Proof, circle theorems, Pythagoras' Theorem, Area of a triangle

Further Maths 6

Functions, 3D geometry problems, graphs, circle theorems, Pythagoras Theorem, Surds

Functions, 3D geometry problems, graphs, circle theorems, Pythagoras Theorem, Surds

Further Maths 7

Functions, 3D geometry problems, graphs, circle theorems, Pythagoras Theorem, Surds

Geometric Proofs and Factorising quartic equations.

Further Maths 8

Functions, 3D geometry problems, graphs, circle theorems, Pythagoras Theorem, Surds

Practice of the same work in FM7


Summer School Preparation

Surds, Functions and the Product Rule for Counting

Preparation work for summer school. Have a go at these before next week please. Don't worry if you get stuck. We'll go over them and see if we can extend the subject more each time.

Summer School Preparation Answers for Surds

Surds, Functions and the Product Rule for Counting

Preparation work for summer school. Solutions for the Surds questions

Summer School Preparation Answers for Functions

Surds, Functions and the Product Rule for Counting

Preparation work for summer school. Solutions for the Functions questions

Summer School Preparation Answers for Product Rule for Counting

Surds, Functions and the Product Rule for Counting

Preparation work for summer school. Solutions for the Product Rule for Counting questions


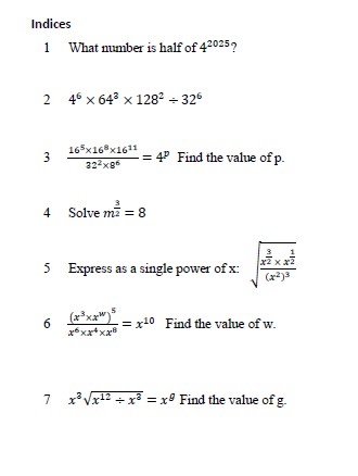
Indices

Exercise on Indices

Exercise on Indices

Questions

Questions for in class

Questions for in class and revision

Answers

Answers for in class

Answers for in class and revision

Geometric Reasoning Questions

Work on circle theorems, proofs, geometric reasoning, circle equations lines

Work on circle theorems, proofs, geometric reasoning, circle equations lines


Revision

Practice Questions for Revision of Further Maths

Practice Questions for Revision of Further Maths

Q1 Increasing a term by a percentage

A video going through four questions To help with Q1

A video to help with Q1 and increasing percentages

Q4 Finding intercepts on a straight line graph

A video on finding the intercepts in a straight line graph

A video on finding the intercepts in a straight line graph

Q7 Piecewise or Hybrid Graphs

A video on Piecemeal or Hybrid Graphs

Q7 Piecemeal or Hybrid Graphs


Q11 Finding the inverse function

A video to help with finding the inverse function

A video to help with finding the inverse function

Q13 Finding exact values of trigonometric quantities

A video on finding the exact trigonometric values

A video on finding the exact trigonometric values

Q22 Graphing Trigonometric Functions

A video on sketching a graph of sine and cosine functions

A video on sketching a graph of sine and cosine functions

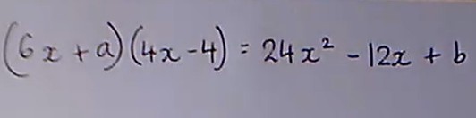
Q25 Expanding quadratics with unknown quantities

A video on expanding quadratics with unknown quantities

A video on expanding quadratics with unknown quantities


Q34 Finding Derivatives and Differentiation

A video on finding Derivatives and Differentiation

A video on finding Derivatives and Differentiation

Q36 Matrix Multiplication

A video on matrix multiplication

A video on matrix multiplication

Q49 Count of Terms in a Quadratic Sequence below a Number

A video on Count of Terms in a Quadratic Sequence below a Number

A video on Count of Terms in a Quadratic Sequence below a Number

Q50 Rationalising and Simplifying a Surd

A video on Rationalising and Simplifying a Surd

A video on Rationalising and Simplifying a Surd


Q59 Changing the Subject of an Equation including Factorising

A video on Changing the Subject of an Equation including Factorising

A video on Changing the Subject of an Equation including Factorising

Q61 Writing a Quadratic in Completed Square Form

A video on Writing a Quadratic in Completed Square Form

A video on Writing a Quadratic in Completed Square Form

Q75 Matrices with Algebra - Complete Long Version

A video on Matrices with Algebra

A video on Matrices with Algebra: This version is complete and is more than 800MB in size so only download it if you are connected to a wifi network

Q75a Matrices with Algebra - Shorter Part A

A video on Matrices with Algebra

A video on Matrices with Algebra: Use this if you are on a device with limited data.


Q75b Matrices with Algebra - Shorter Part B

A video on Matrices with Algebra

A video on Matrices with Algebra: Use this if you are on a device with limited data.

Q99 Binomial Expansion

A video on expanding a binomial including as x-squared term and a fraction

A video on expanding a binomial including as x-squared term and a fraction

Q100 Factorising Using Factor Theorem

A video on using factor theorem.

A video on using factor theorem. If substituting does not work when x=1, you need to be able to do it for x=2, x=3,x=4 and x= half as well. This video includes division of polynomials and factorising a quadratic using the grid method.

Q102 Indices

A video on using indices with an unknown quantity and using lots of knowledge to determine what that quantity is.

A video on using indices with an unknown quantity and using lots of knowledge to determine what that quantity is.


Revision Answers Part 1

Answers to the revision to the further maths questions Q1 - Q66

Answers to the revision to the further maths questions Q1 - Q66

More Revision

Questions based on 2022

Questions based on 2022

Practice Assessment

Further Maths Mock Assessment

Further Maths Mock Assessment

Yet more revision

General Revision

General Revision